西華デジタルイメージ株式会社

 
  • 製品一覧
    • 燃焼・流体・粒径計測
    • 電子顕微鏡用周辺機器
    • 薄膜・多孔質素材評価
    • 材料特性評価
  • 技術情報
    • とはページ
    • 基礎知識
    • 論文
  • 計測事例
  • 受託計測
  • セミナー
  • 価格情報
  • 会社情報
 
  • JP
  • EN
  • 中文

03-3830-2300

  • 製品一覧
  • 技術情報
  • 計測事例
  • 受託計測
  • 展示会・セミナー情報
  • 価格情報
  • 会社情報
  • お問い合わせ
  • 資料ダウンロード
  • JP
  • EN
  • 中文
  • お問い合わせ
  • 資料ダウンロード

03-3830-2300

(受付時間:平日 9:00-18:00)

  1. 西華デジタルイメージ株式会社
  2. 計測機器
  3. よくある質問
  4. 材料特性評価
  5. ひずみ測定値のtext、CSV出力

ひずみ測定値のtext、CSV出力

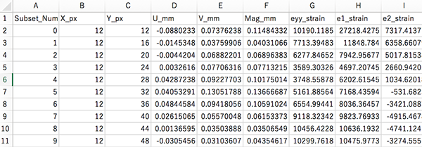
各測定点ごとのひずみ測定値を、CSVやtxtで出力することはできますか?

  • A
    可能です。画像の他に各座標点でのひずみの値をCSV形式やtext形式でのエクスポートに対応しております。

よくある質問一覧へ
お問い合わせ
カタログダウンロード
計測機器
  • 燃焼・流体・粒径計測
  • 電子顕微鏡用周辺機器
  • 薄膜・多孔質素材評価
  • 材料特性評価
  • 受託計測
  • ファクトリーオートメーション:センサー
  • 技術情報・コラム
  • 流体/ひずみ計測事例集
  • よくある質問
    • 燃焼・流体・粒径
    • 電子顕微鏡用周辺機器
    • 薄膜・多孔質素材評価
    • 材料特性評価
  • 各種ウイルスや花粉、PM2.5などの計測機器
  • 飛沫・呼気の可視化システム
  • トラブル対応集

当社製品・サービスに関するこんなお悩み・ご相談お待ちしております

■粒度分布、粉体計測

  • 粒度分布計をリプレイスしたいが高額で導入できない
  • オペレーションが容易な粒度分布計を導入したい
  • 安価にナノオーダーの粒度分布を計測したい

■流体計測、可視化

  • 流体の可視化、定量化に関するお悩み
  • PIVソフトを導入したけど上手く計測できない
  • 熱線流速計でうまく測れない流速を計測したい

■ひずみ、変位測定

  • ひずみゲージが貼れない箇所のひずみを計測したい
  • 非接触でひずみ・変位を解析したい
  • ひずみの分布を面で計測したい

■薄膜、多孔質素材評価

  • 水俣条約に伴い扱いが困難になる水銀式ポロシメトリーについて相談したい
  • 燃料電池のGDL、MEAのガスの拡散性能を評価したい
  • セラミックフィルターの細孔径分布を測定したい
 

などなど、どんなささいな事でもご相談承りますので、まずはお気軽にご相談下さい。
ラボルームもご用意しておりますので、デモや製品の見学も承ります。

03-3830-2300

(受付時間:平日 9:00-18:00)

製品のお見積りに関して

受託計測に関するご相談

製品購入にあたり仕様や詳細のご相談

製品サポート
その他のお問い合わせはこちら

PAGE TOP

西華デジタルイメージ株式会社

〒112-0004
東京都文京区後楽1-5-3
後楽国際ビルディング2階

  • TEL:03-3830-2300
  • FAX:03-5802-8777

古物営業法に基づく表記
東京都公安委員会 第301121804750号

  • 計測機器
    • 粒子画像流速計測システム:PIV
    • 三次元流れ場解析:Koncerto-3DA
    • 飛沫・呼気の可視化システム
    • レーザー式カンチレバー流速計:LCA
    • レーザードップラー流速計:LDV
    • 粒子分析計:PDI 流速・粒径計測 位相ドップラー式
    • 粒度分布計:FLD レーザー回折式
    • 粒子画像解析法:シャドウグラフシステム
    • 粒子画像解析・計測ソフトウエア:Dia.Image2020
    • 排ガス・すす濃度 レーザー誘起加熱法:LII
    • レーザー誘起蛍光法:LIFシステム
    • 燃焼中の水素原子濃度計測:H-TALIF
    • 表面圧力計測 感圧塗料:PSP
    • ガス可視化 可搬投影型シュリーレン装置
    • 非接触ひずみ・変位計測 デジタル画像相関法:DICシステム
    • 電気化学測定装置 ポテンショスタット・ガルバノスタット
    • 垂直圧力分布・せん断応力計測 感圧フィルム
    • 電顕カメラ 粒子画像解析ソフト
    • ナノインデンテーション
    • 細孔径分布測定 ポロメーター
    • 細孔径分布測定 非水銀式ポロシメーター
    • バリア性フィルム 高速ガス透過率評価
    • 燃料電池関連製品
    • 表面速度計:SLV
  • 会社情報
    • 会社情報
    • 会社概要
    • 沿革
    • 電子公告
    • 社長メッセージ
  • 採用情報
  • 技術情報
  • 予算情報、科研費情報
  • 受託計測
  • 計測機器よくある質問
  • トラブル対応集
  • 展示会・セミナー情報
  • SDI Blog
  • お問い合わせ
  • 資料ダウンロード
  • サイトマップ
  • プライバシーポリシー
  • サイトポリシー
  • 安全保障輸出管理について
  • パートナーシップ構築宣言
 

© Copyright. SEIKA Digital Image Corporation. All rights reserved.